Tes cpns kabupaten pekalongan.
Jika kamu mencari artikel tes cpns kabupaten pekalongan terbaru, berarti kamu sudah berada di blog yang benar. Yuk langsung saja kita simak penjelasan tes cpns kabupaten pekalongan berikut ini.
Dimulai Besok Tes Cpns Kabupaten Pekalongan Sekda Jimat Tidak Bisa Bantu Peserta Lolos Skd Tribun Jateng From jateng.tribunnews.com
Latihan soal tes CPNS 2019 Kab Pekalongan download saja kumpulan latihan soal tes CPNS 2019 di web ini. Pekalongan 2021 0 200929 30 Jun 2021 - Oleh. Anda dapat berbagi informasi website ini dengan cara berkomentar yang baik dan bijak serta sopan. Jangan lupa persiapkan diri anda untuk setiap tahapan tes ujian seleksi CPNS 2019 2020.
Lokasi tes cpns inspektorat pekalongan.
Pengumuman Penerimaan CASN Kab. Pelaksanaan Seleksi Kompetensi Dasar SKD bagi peserta Calon Pegawai Negeri Sipil CPNS Pemer. Jangan lupa persiapkan diri anda untuk setiap tahapan tes ujian seleksi CPNS 2019 2020. Tips Lulus CPNS Kabupaten Pekalongan 2019. Jadwal dan lokasi Tes SKB CPNS KAB PEKALONGAN 2019 akan ditetapkan jadwalnya oleh panitia sesuai daerah masing-masing jadi mohon untuk terus update beritanya.
Source: menpan.go.id
1 2 3 4. Next post Link Pendaftaran CPNS 20212022 Kabupaten Pekalongan Related Posts Siapkan Berkas Pendaftaran CPNS dan PPPK 30 Juni 21 Juli Pukul 2359 Serentak di SSCASN BKN 20212022. Bagikan juga Alur Cara Daftar CPNS 2019 Kab Pekalongan Lulusan SMA SMK D3 S1. Untuk hasil seleksi administrasi pada nama-nama yang dinyatakan lolos seleksi administrasi akan tertera. Lokasi tes cpns inspektorat pekalongan.
Demikian informasi tentang CPNS 2019 Kabupaten Pekalongan.
Semoga informasi tata cara dan alur pendaftaran CPNS Kabupaten Pekalongan ini bermanfaat. Untuk hasil seleksi administrasi pada nama-nama yang dinyatakan lolos seleksi administrasi akan tertera. Jangan lupa persiapkan diri anda untuk setiap tahapan tes ujian seleksi CPNS 2019 2020. Formasi CPNS 2019 Kab.
Source: salamdroid.com
Latihan soal tes CPNS 2019 paling lengkap download saja kumpulan latihan soal tes CPNS 2019 di web ini. Pelaksanaan Seleksi Kompetensi Dasar SKD bagi peserta Calon Pegawai Negeri Sipil CPNS Pemer. Jadwal dan lokasi Tes SKB CPNS KAB PEKALONGAN 2019 akan ditetapkan jadwalnya oleh panitia sesuai daerah masing-masing jadi mohon untuk terus update beritanya. Dapatkan informasi terbaru terkait hasil seleksi administrasi pendaftaran CPNS KAB PEKALONGAN tahun 2019.
Source: id.pinterest.com
January 28 2020 Alur pelaksanaan Tes Seleksi Kompetensi Dasar SKD CPNS 2019 Yuk simak dan cermati teman-teman SobatBKPPD. QWERTYcoid - Bagi pelamar CPNS 2019 yang mendaftar CPNS 2019 berikut. Demikian informasi tentang CPNS 2019 Kabupaten Pekalongan. Cara mengecek Hasil Akhir SKD SKB CPNS KAB PEKALONGAN 2019 untuk melihat daftar nama peserta yang lolos lulus Tes akhir SSCN BKN CPNS KAB PEKALONGAN 2019.
Source: amongguru.com
Pekalongan 2021 PENERIMAAN CALON APARATUR SIPIL NEGARA PEMERINTAH KABUPATEN PEKALONGAN TAHUN 2021 Berdasarkan Keputusan Menteri Pendayagunaan Aparatur Negara dan Reformasi Birokrasi Nomor 439. Pengumuman Penerimaan CASN Kab. Ini dirilis setelah Badan Kepegawaian Nasional BKN menutup pendaftaran CPNS 2019. Semoga informasi tata cara dan alur pendaftaran CPNS Kabupaten Pekalongan ini bermanfaat.
Demikian informasi tentang CPNS 2019 Kabupaten Pekalongan. Rangkuman Materi Tes CPNS Pancasila Tes Wawasan Kebangsaan TWK Pancasila. Next post Link Pendaftaran CPNS 20212022 Kabupaten Pekalongan Related Posts Siapkan Berkas Pendaftaran CPNS dan PPPK 30 Juni 21 Juli Pukul 2359 Serentak di SSCASN BKN 20212022. Pengumuman tersebut bernomor 81017572019 tentang PENERIMAAN CALON PEGAWAI NEGERI SIPIL DAERAH PEMERINTAH KABUPATEN PEKALONGAN TAHUN 2019.
Latihan soal tes CPNS 2019 Kab Pekalongan download saja kumpulan latihan soal tes CPNS 2019 di web ini.
Lokasi tes cpns inspektorat pekalongan. Jangan lupa persiapkan diri anda untuk setiap tahapan tes ujian seleksi CPNS 2019 2020. Rangkuman Materi Tes CPNS Pancasila Tes Wawasan Kebangsaan TWK Pancasila. Petunjuk mengerjakan tes ujian CPNS online SKD sistem CAT LIHAT DISINI. Pekalongan 2021 PENERIMAAN CALON APARATUR SIPIL NEGARA PEMERINTAH KABUPATEN PEKALONGAN TAHUN 2021 Berdasarkan Keputusan Menteri Pendayagunaan Aparatur Negara dan Reformasi Birokrasi Nomor 439.
Source: encrypted-tbn0.gstatic.com
Jangan lupa persiapkan diri anda untuk setiap tahapan tes ujian seleksi CPNS 2019 2020. Semua berkas administrasi CPNS Kabupaten Pekalongan 2021 nantinya akan di upload ke website tersebut. Untuk hasil seleksi administrasi pada nama-nama yang dinyatakan lolos seleksi administrasi akan tertera. Jadwal dan lokasi Tes SKB CPNS KAB PEKALONGAN 2019 akan ditetapkan jadwalnya oleh panitia sesuai daerah masing-masing jadi mohon untuk terus update beritanya. Dapatkan informasi terbaru terkait hasil seleksi administrasi pendaftaran CPNS KAB PEKALONGAN tahun 2019.
KAJEN PUSKAPIK-Sebanyak 9462 peserta akan mengikuti tes SKD CPNS Pemerintah Kabupaten Pekalongan. By icpns Posted on October 6 2018. Pengumuman Penerimaan CASN Kab. Lokasi tes cpns inspektorat pekalongan.
Kami acungi jempol untuk udinus 12022020 No Comments Kami apresiasi Universitas Dian Nuswantoro Semarang atas kinerjanya sebagai fasilitator tes SKD CPNS tahun formasi 2019.
Pengumuman Penerimaan CASN Kab. Formasi dan Jabatan CPNS 2018 Pemerintah Kab. Peserta CPNS 2019 sudah dapat mengecek namanya via portal SSCASN dengan memasukkan NIK dan password. Dapatkan informasi terbaru terkait hasil seleksi administrasi pendaftaran CPNS KAB PEKALONGAN tahun 2019.
Source: caradaftarcpns.com
Pemerintah Kabupaten Pekalongan menerbitkan Pengumuman Seleksi CPNS Kabupaten Pekalongan Tahun 2019. Pekalongan 2021 0 200929 30 Jun 2021 - Oleh. Kami acungi jempol untuk udinus 12022020 No Comments Kami apresiasi Universitas Dian Nuswantoro Semarang atas kinerjanya sebagai fasilitator tes SKD CPNS tahun formasi 2019. Jangan lupa persiapkan diri anda untuk setiap tahapan tes ujian seleksi CPNS 2019 2020.
Source: id.pinterest.com
Kami acungi jempol untuk udinus 12022020 No Comments Kami apresiasi Universitas Dian Nuswantoro Semarang atas kinerjanya sebagai fasilitator tes SKD CPNS tahun formasi 2019. Proses Seleksi CPNS Kabupaten Pekalongan tahun 2021 dilakukan secara online mulai dari pendafatran hingga pada saat mengikuti tes ujiannya. Latihan soal tes CPNS 2019 Kab Pekalongan download saja kumpulan latihan soal tes CPNS 2019 di web ini. 1 2 3 4.
Source: portalsulut.pikiran-rakyat.com
Kami acungi jempol untuk udinus 12022020 No Comments Kami apresiasi Universitas Dian Nuswantoro Semarang atas kinerjanya sebagai fasilitator tes SKD CPNS tahun formasi 2019. Jangan lupa persiapkan diri anda untuk setiap tahapan tes ujian seleksi CPNS 2019 2020. Maka hal berikutnya yang harus anda persiapkan ialah kemampuan anda dalam menghadapi ujian tes seleksi CPNS Kabupaten Pekalongan tahun 2019. By icpns Posted on October 6 2018.
Jangan lupa persiapkan diri anda untuk setiap tahapan tes ujian seleksi CPNS 2019 2020.
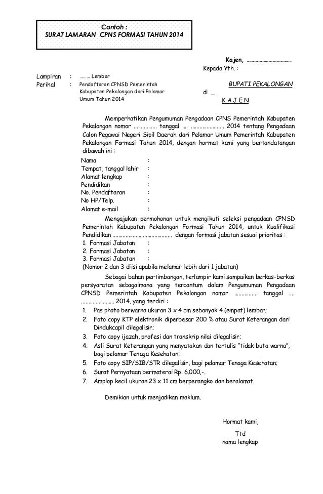
Untuk para pelamar CPNS ASN calon abdi negara peserta tes masuk CPNS ASN di Kabupaten Pekalongan Jawa Tengah dan sekitar nya kami menjual Jual Latihan Soal Les Kursus Bimbel Private Tes Masuk Calon Pegawai Negeri Sipil CPNS Aparatur Sipil Negara ASN Tes Intelegensia Umum TIU Tes Karakteristik Pribadi TKP Tes Wawasan Kebangsaan TWK di Kabupaten Pekalongan. Petunjuk mengerjakan tes ujian CPNS online SKD sistem CAT LIHAT DISINI. QWERTYcoid - Bagi pelamar CPNS 2019 yang mendaftar CPNS 2019 berikut. Semua berkas administrasi CPNS Kabupaten Pekalongan 2021 nantinya akan di upload ke website tersebut. Tips Lulus CPNS Kabupaten Pekalongan 2019.
Source: bkddiklat.pekalongankab.go.id
Pemerintah Kabupaten Pekalongan menerbitkan Pengumuman Seleksi CPNS Kabupaten Pekalongan Tahun 2019. Selain itu dengan memahami Jadwal dan Lokasi Tes SKD CPNS KAB PEKALONGAN 2019 peserta juga tidak akan kebingungan kemana dan dimana lokasi ujian berlangsung. Maka hal berikutnya yang harus anda persiapkan ialah kemampuan anda dalam menghadapi ujian tes seleksi CPNS Kabupaten Pekalongan tahun 2019. Wali Kota Berharap Hasilkan CPNS TerbaikPEKALONGAN-Sebanyak 4265 pendaftar Calon Pegawai Negeri Sipil CPNS Pemerintah Kota Pemkot Pekalongan akan mengikuti tes Seleksi Kompetensi Dasar SKD di Universitas Dian Nuswantoro Udinus Semarang Se. Pekalongan 2021 PENERIMAAN CALON APARATUR SIPIL NEGARA PEMERINTAH KABUPATEN PEKALONGAN TAHUN 2021 Berdasarkan Keputusan Menteri Pendayagunaan Aparatur Negara dan Reformasi Birokrasi Nomor 439.
Setelah semua berkasdokumen yang diminta Kabupaten Pekalongan telah dikirimkan ke alamat yang ditentukan.
Demikian informasi tentang CPNS 2019 Kabupaten Pekalongan. Jangan lupa persiapkan diri anda untuk setiap tahapan tes ujian seleksi CPNS 2019 2020. Pengumuman hasil kelulusan seleksi akhir cpns Kabupaten Pekalongan 2018 akan dikelurkan setelah semua rangkaian seleksi cpns 2018 selesai dilaksanakan biasanya setelah melaksanakan seleksi kompetensi bidang serta tes-tes lainnya. Setelah semua berkasdokumen yang diminta Kabupaten Pekalongan telah dikirimkan ke alamat yang ditentukan.
Source: jateng.tribunnews.com
Jika anda mendaftar cpns 2018 di kabupaten Pekalongan maka mengikuti ketentuan yang ditetapkan oleh Pemkab Pekalongan. Wali Kota Berharap Hasilkan CPNS TerbaikPEKALONGAN-Sebanyak 4265 pendaftar Calon Pegawai Negeri Sipil CPNS Pemerintah Kota Pemkot Pekalongan akan mengikuti tes Seleksi Kompetensi Dasar SKD di Universitas Dian Nuswantoro Udinus Semarang Se. Jika anda mendaftar cpns 2018 di kabupaten Pekalongan maka mengikuti ketentuan yang ditetapkan oleh Pemkab Pekalongan. Untuk para pelamar CPNS ASN calon abdi negara peserta tes masuk CPNS ASN di Kabupaten Pekalongan Jawa Tengah dan sekitar nya kami menjual Jual Latihan Soal Les Kursus Bimbel Private Tes Masuk Calon Pegawai Negeri Sipil CPNS Aparatur Sipil Negara ASN Tes Intelegensia Umum TIU Tes Karakteristik Pribadi TKP Tes Wawasan Kebangsaan TWK di Kabupaten Pekalongan.
Source: salamdroid.com
Pemerintah Kabupaten Pekalongan menerbitkan Pengumuman Seleksi CPNS Kabupaten Pekalongan Tahun 2019. Jadwal dan lokasi Tes SKB CPNS KAB PEKALONGAN 2019 akan ditetapkan jadwalnya oleh panitia sesuai daerah masing-masing jadi mohon untuk terus update beritanya. By icpns Posted on October 6 2018. Pengumuman hasil kelulusan seleksi akhir cpns Kabupaten Pekalongan 2018 akan dikelurkan setelah semua rangkaian seleksi cpns 2018 selesai dilaksanakan biasanya setelah melaksanakan seleksi kompetensi bidang serta tes-tes lainnya.
Source: salamdroid.com
Untuk hasil seleksi administrasi pada nama-nama yang dinyatakan lolos seleksi administrasi akan tertera. Pemerintah Kabupaten Pekalongan menerbitkan Pengumuman Seleksi CPNS Kabupaten Pekalongan Tahun 2019. Wali Kota Berharap Hasilkan CPNS TerbaikPEKALONGAN-Sebanyak 4265 pendaftar Calon Pegawai Negeri Sipil CPNS Pemerintah Kota Pemkot Pekalongan akan mengikuti tes Seleksi Kompetensi Dasar SKD di Universitas Dian Nuswantoro Udinus Semarang Se. Pengumuman hasil kelulusan seleksi akhir cpns Kabupaten Pekalongan 2018 akan dikelurkan setelah semua rangkaian seleksi cpns 2018 selesai dilaksanakan biasanya setelah melaksanakan seleksi kompetensi bidang serta tes-tes lainnya.
Dapatkan informasi terbaru terkait hasil seleksi administrasi pendaftaran CPNS KAB PEKALONGAN tahun 2019.
Ini dirilis setelah Badan Kepegawaian Nasional BKN menutup pendaftaran CPNS 2019. Bagikan juga Alur Cara Daftar CPNS 2019 Kab Pekalongan Lulusan SMA SMK D3 S1. Ini dirilis setelah Badan Kepegawaian Nasional BKN menutup pendaftaran CPNS 2019. Mohon persiapkan diri anda untuk mengikuti tahapan selanjutnya pada seleksi pendaftaran CPNS KAB PEKALONGAN tahun ini dengan cara memepelajari dan membuka panduan Tes CPNS tahun lalu. Peserta CPNS 2019 sudah dapat mengecek namanya via portal SSCASN dengan memasukkan NIK dan password.
Source: encrypted-tbn0.gstatic.com
Setelah semua berkasdokumen yang diminta Kabupaten Pekalongan telah dikirimkan ke alamat yang ditentukan. Peserta CPNS 2019 sudah dapat mengecek namanya via portal SSCASN dengan memasukkan NIK dan password. Latihan soal tes CPNS 2019 Kab Pekalongan download saja kumpulan latihan soal tes CPNS 2019 di web ini. Untuk hasil seleksi administrasi pada nama-nama yang dinyatakan lolos seleksi administrasi akan tertera. Next post Link Pendaftaran CPNS 20212022 Kabupaten Pekalongan Related Posts Siapkan Berkas Pendaftaran CPNS dan PPPK 30 Juni 21 Juli Pukul 2359 Serentak di SSCASN BKN 20212022.
Alur pelaksanaan TES SKD CPNS 2019.
Maka hal berikutnya yang harus anda persiapkan ialah kemampuan anda dalam menghadapi ujian tes seleksi CPNS Kabupaten Pekalongan tahun 2019. Kami acungi jempol untuk udinus 12022020 No Comments Kami apresiasi Universitas Dian Nuswantoro Semarang atas kinerjanya sebagai fasilitator tes SKD CPNS tahun formasi 2019. Pelaksanaan Seleksi Kompetensi Dasar SKD bagi peserta Calon Pegawai Negeri Sipil CPNS Pemer. Alur pelaksanaan TES SKD CPNS 2019.
Source: mediamagelang.pikiran-rakyat.com
Proses Seleksi CPNS Kabupaten Pekalongan tahun 2021 dilakukan secara online mulai dari pendafatran hingga pada saat mengikuti tes ujiannya. Rangkuman Materi Tes CPNS Pancasila Tes Wawasan Kebangsaan TWK Pancasila. Kami acungi jempol untuk udinus 12022020 No Comments Kami apresiasi Universitas Dian Nuswantoro Semarang atas kinerjanya sebagai fasilitator tes SKD CPNS tahun formasi 2019. Semoga informasi tata cara dan alur pendaftaran CPNS Kabupaten Pekalongan ini bermanfaat. 1 2 3 4.
Source: slideshare.net
Petunjuk mengerjakan tes ujian CPNS online SKD sistem CAT LIHAT DISINI. Rangkuman Materi Tes CPNS Pancasila Tes Wawasan Kebangsaan TWK Pancasila. Next post Link Pendaftaran CPNS 20212022 Kabupaten Pekalongan Related Posts Siapkan Berkas Pendaftaran CPNS dan PPPK 30 Juni 21 Juli Pukul 2359 Serentak di SSCASN BKN 20212022. KAJEN PUSKAPIK-Sebanyak 9462 peserta akan mengikuti tes SKD CPNS Pemerintah Kabupaten Pekalongan. Pengumuman hasil kelulusan seleksi akhir cpns Kabupaten Pekalongan 2018 akan dikelurkan setelah semua rangkaian seleksi cpns 2018 selesai dilaksanakan biasanya setelah melaksanakan seleksi kompetensi bidang serta tes-tes lainnya.
Source: id.pinterest.com
Pemerintah Kabupaten Pekalongan menerbitkan Pengumuman Seleksi CPNS Kabupaten Pekalongan Tahun 2019. Formasi dan Jabatan CPNS 2018 Pemerintah Kab. Demikian informasi tentang CPNS 2019 Kabupaten Pekalongan. Latihan soal tes CPNS 2019 Kab Pekalongan download saja kumpulan latihan soal tes CPNS 2019 di web ini. Proses Seleksi CPNS Kabupaten Pekalongan tahun 2021 dilakukan secara online mulai dari pendafatran hingga pada saat mengikuti tes ujiannya.
Situs ini adalah komunitas terbuka bagi pengguna untuk membagikan apa yang mereka cari di internet, semua konten atau gambar di situs web ini hanya untuk penggunaan pribadi, sangat dilarang untuk menggunakan artikel ini untuk tujuan komersial, jika Anda adalah penulisnya dan menemukan gambar ini dibagikan tanpa izin Anda, silakan ajukan laporan DMCA kepada Kami.
Jika Anda menemukan situs ini baik, tolong dukung kami dengan membagikan postingan ini ke akun media sosial seperti Facebook, Instagram dan sebagainya atau bisa juga save halaman blog ini dengan judul tes cpns kabupaten pekalongan dengan menggunakan Ctrl + D untuk perangkat laptop dengan sistem operasi Windows atau Command + D untuk laptop dengan sistem operasi Apple. Jika Anda menggunakan smartphone, Anda juga dapat menggunakan menu laci dari browser yang Anda gunakan. Baik itu sistem operasi Windows, Mac, iOS, atau Android, Anda tetap dapat menandai situs web ini.





